Une nouvelle étude menée par des chercheurs britanniques met en lumière la nature complexe des symptômes dits « long COVID » chez les jeunes. L’étude prospective a révélé que bien qu’un pourcentage de personnes ayant contracté la COVID-19 développe des symptômes persistants – et ces symptômes sont réels – chez la plupart des jeunes, les symptômes disparaissent d’eux-mêmes.
Selon les chercheurs, l’attribution des symptômes persistants à la COVID-19 seul est mal fondée et a été exagérée par l’utilisation d’études transversales qui ne suivent pas les participants dans le temps.
Les conclusions des chercheurs, publiées au début du mois dans The Lancet Regional Heath – Europe, contrastent avec l’idée largement répandue selon laquelle les symptômes débilitants consécutifs à l’infection par la COVID-19 sont fréquents et durables.
Le Dr Vinay Prasad, hématologue-oncologue et professeur au département d’épidémiologie et de biostatistique de l’université de Californie à San Francisco, propose ici un résumé de l’article.
Limites de l’étude
L’étude a porté sur deux grands groupes d’enfants et de jeunes, âgés de 11 à 17 ans, qui ont été suivis pendant un an après s’être présentés pour un test PCR pour la COVID-19.
Bien qu’environ deux tiers des participants aient été vaccinés, l’étude n’a pas comparé l’incidence des symptômes longs de la COVID en fonction du statut vaccinal. Nous ne sommes donc pas en mesure de déterminer si les vaccins contre la COVID-19 contribuent à – ou atténuent – le risque de long COVID.
Points forts de l’étude
Cette étude unique présentait trois atouts importants. Tout d’abord, l’incidence des symptômes parmi ceux qui ont contracté la COVID-19 est comparable à ce qui a été montré dans d’autres études sur les adolescents. Cela donne de la crédibilité aux résultats.
Deuxièmement, les participants à l’étude ont été observés pendant une année complète dans ce que l’on appelle une étude longitudinale. Cette méthode s’oppose à celle qui consiste à interroger les personnes à différents moments depuis l’infection (étude transversale).
Cela nous permet de déterminer si les personnes qui déclarent des symptômes post-infection restent affaiblies ou si elles s’améliorent avec le temps.
Troisièmement, les chercheurs ont également suivi un groupe apparié de jeunes qui n’ont pas contracté la COVID-19 pendant la même période d’observation. Cela leur a permis d’estimer combien de symptômes rapportés n’étaient pas réellement dus à COVID-19 mais provenaient d’autres facteurs présents dans les deux groupes.
Constatations
L’étude a porté sur un échantillon de 5 086 jeunes non hospitalisés âgés de 11 à 17 ans. Parmi eux, 2 909 étaient positifs pour le SRAS-CoV-2 au départ et 2 177 étaient négatifs pour le SRAS-CoV-2.
Les deux groupes ont été appariés par âge, sexe et géographie.
Chaque participant à l’étude a auto-déclaré divers symptômes de « long COVID » à zéro, six et douze mois de son inscription.
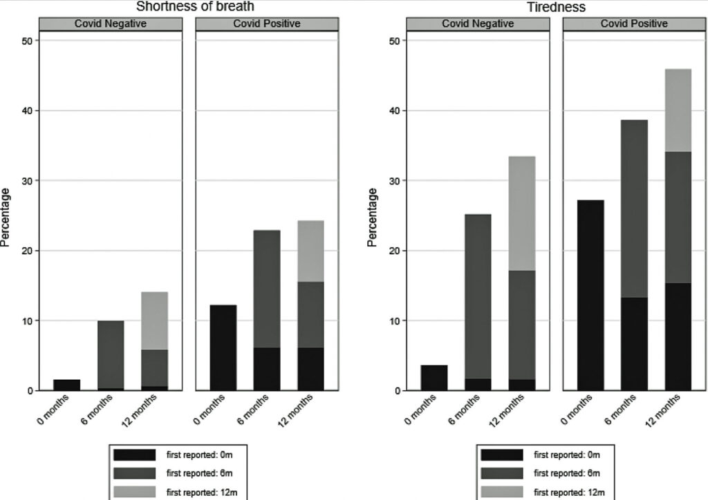
Les chercheurs ont évalué 21 symptômes distincts. Parmi celles-ci, seules deux ont vu leur prévalence augmenter au cours de la période d’observation de 12 mois : l’essoufflement et la fatigue.
Examinons d’abord de plus près ces deux symptômes pour montrer en quoi cette étude est révélatrice.
Si, comme dans d’autres études, la prévalence de ces deux symptômes était simplement donnée en coupe transversale à chaque moment, nous conclurions que les personnes ayant la malchance de souffrir de ces symptômes de longue durée ne se sont pas améliorées et, en fait, ont empiré.
Cependant, étant donné que l’étude était longitudinale et qu’elle portait sur une cohorte non-COVID-19, nous voyons plutôt ceci :

Pour chaque symptôme, le pourcentage de ceux qui étaient COVID-19-négatifs apparaît à gauche de ceux qui étaient COVID-19-positifs. Voici ce que nous trouvons :
- L’incidence de ces deux symptômes dans le groupe COVID-19-positif est plus élevée que dans le groupe qui a été testé négatif pour le virus. Cela indique que l’infection par le SRAS-CoV-2 augmente la probabilité de survenue de ces deux symptômes.
- Le pourcentage de chaque cohorte qui souffre de l’un de ces deux symptômes augmente au cours de l’année, mais …
- Ces symptômes augmentent que le participant ait ou non la COVID-19, et …
- Chaque barre de chaque graphique est composée de trois populations différentes – celles qui ont signalé le symptôme pour la première fois immédiatement (noir), celles qui ont signalé le symptôme seulement après six mois (gris foncé) et celles qui ont signalé le symptôme seulement après 12 mois (gris clair). Nous constatons que ceux qui ont immédiatement signalé le symptôme se sont améliorés avec le temps.
Nous pouvons en conclure que, comme la partie noire des barres du groupe COVID-19 est plus petite au fur et à mesure que le temps passe, ces symptômes se résorbent avec le temps.
Toutefois, comme indiqué ci-dessus, le pourcentage de jeunes souffrant de ces symptômes dans leur ensemble augmente. En effet, des participants auparavant asymptomatiques signalent l’apparition de nouveaux symptômes six et douze mois plus tard.
S’agit-il de nouveaux symptômes par rapport à l’épisode de COVID-19 vécu six et douze mois auparavant ? C’est là que le fait de disposer d’une cohorte COVID-19-négative devient utile.
Comme la taille des parties gris foncé et gris clair de chaque barre est à peu près la même entre les deux cohortes, on peut raisonnablement conclure que ces symptômes à déclenchement tardif sont en grande partie dus à des facteurs non liés à l’infection.
En examinant les données de plus près, pour les symptômes initialement signalés, ceux qui étaient porteurs de la COVID-19 avaient une prévalence plus importante après 12 mois (5,4 % pour l’essoufflement et 13,8 % pour la fatigue) par rapport à ceux qui étaient négatifs à la COVID-19.
En revanche, la cohorte COVID-19-négative a rapporté plus de fatigue après 12 mois que la cohorte COVID-19-positive.
Cette tendance se vérifie également pour les autres symptômes mesurés. Les auteurs déclarent dans leur discussion :
« Les résultats montrent qu’en agrégeant les trois points temporels, les symptômes indésirables étaient généralement plus fréquents chez les jeunes positifs que chez les jeunes négatifs. La majorité des jeunes positifs au test qui présentaient un symptôme indésirable particulier au moment du test étaient libérés de ce symptôme 6 et 12 mois après le test, ce qui montre que ces symptômes s’améliorent généralement avec le temps.
« De plus, la plupart des jeunes qui ont développé pour la première fois un symptôme particulier 6 mois après leur test PCR positif (ou négatif) n’ont pas signalé ce symptôme à 12 mois. Nous avons également constaté, dans le sous-échantillon dont les données ont été recueillies à 3, 6 et 12 mois après le test, des schémas et des résultats largement similaires. »
Effets à long terme
Les chercheurs ont également examiné la prévalence des symptômes qui se sont manifestés six et douze mois après l’inscription. Ils couvrent les domaines de la santé mentale, du bien-être et de la fatigue. Notez la cohérence entre les deux groupes pour chaque mesure :



Conclusions
Les auteurs résument :
« Nos conclusions cohérentes et solides sur un large éventail de mesures de la santé et du bien-être soulignent les points suivants : (i) le lien étroit entre la santé physique et la santé mentale et (ii) la valeur des mesures répétées dans le temps chez les mêmes individus.
« En prenant toutes les données en considération, nous avons constaté que si nous avions simplement examiné la prévalence transversale (sic) au départ, à 3 (dans le sous-échantillon), 6 et 12 mois, il aurait semblé que la prévalence de plusieurs symptômes indésirables post-COVID soit restée largement stable, voire ait augmenté, au fil du temps. En fait, la plupart des jeunes (mais pas tous) se sont remis des symptômes indésirables qu’ils avaient ressentis au départ et 6 mois après l’infection.
« Cependant, le signalement d’une nouvelle apparition de ces mêmes symptômes lors du suivi à 6 et 12 mois, tant chez les jeunes positifs que négatifs au test, suggère que ces symptômes peuvent être liés à de multiples facteurs et pas seulement à l’infection initiale par le SRAS-COV-2. Par exemple, l’apparition de nouveaux symptômes 6 ou 12 mois après leur test PCR pour le SRAS-COV-2, tant chez les positifs que chez les négatifs, pourrait représenter des niveaux de symptomatologie de fond chez les jeunes en Angleterre. »